| [打印] |
海圆MSC株式会社
一. 海圆公司简介
公司简介
公司名:海圆MSC株式会社
董事长:李海植 Lee Hae Sik
地址: 全罗南道顺天市西面善平里4号
注册时间:2003年4月25日
2003 . 06 . 建成 镀锌板(CGL ) 工厂
2005 . 06 . 被韩国商务部选定朝阳企业
2006 . 12 . 与美国MSC公司签订技术提携开发合同达成销售 9500万美元
2007 . 08 . 设立美国分公司
2008 . 05 . 建成 彩钢板(CCL) & 粘合钢板(CBL) 工厂
2009 . 03 . 成立中国本部,进入中国市场

CBL生产线
CBL流水线是海圆公司全力打造的一条专业生产加工复合板的高科技生产加工线。产品质量高,性能好,在该领域中属于领先地位。
厚度 : 0.5㎜ ~ 2.0 ㎜
宽度 : 600㎜ ~ 1,550㎜
生产量: 200,000 吨/年


二.ECOTEEL-304介绍

产品的性能
ECOTEEL因为其特殊的加工工艺使得该产品具有良好的
隔音性: 在相同实验条件下比普通304钢板同比减少5分贝左右
隔热性:隔热性能是普通304钢板的5倍左右
减震性:减震性比普通304钢板减少10%左右
耐腐蚀性:通过实验证明ECOTEEL耐腐蚀强度能达到15年以上
1.折弯
ECOTEEL能够按照客户的要求进行折弯处理
不会出现:剥离 褶皱 压痕 起泡 等现象。

2.冲压成型
良好的延展性可以一次性冲压近20CM
不会出现:开裂,剥离,褶皱,压痕,起泡等现象。


三.电梯市场产品分析



四.检测认证











海圆公司鸟瞰图

韩国海圆公司印象


海圆公司生产线
镀锌钢板生产线
复合钢板生产线


海圆 “易可替”独特性能
消音
减振
隔热
耐腐蚀
降低成本
绿色、环保新材料
1. 盐雾试验
2. 耐药性实验
3. 机械特性试验
4. 附着强度试验
5. 高温附着性实验
6. 沸腾试验
7. 耐湿性、耐酸性、耐热性试验
8. 耐寒性试验
9. 温差冲击试验
10. POHS测试(有害物质测试)
使用“易可替”给企业带来的效益
工艺性好,便于加工
减少直接材料成本
省去消音辅助材料成本
减少生产工艺成本
减少人工成本
减少生产用地
减少管理成本
“易可替” 主要应用范围
电梯轿厢、门、控制柜箱体
扶梯外包板
建筑外装
建筑内装
海圆公司的总体印象
世界级工艺
全自动化生产
高标准管理
全流程检验
海圆“易可替”产品已通过世界电梯行业领袖级企业的检验、获得认可并采用。
#p##e# 电梯能耗与评测
Elevator Energy Efficiency & Its Classification

中国电梯行业概况
• 是世界最大的制造国
– 2008年电梯:20万台,占世界新装电梯45万台的45%
– 2008年扶梯:3.9万台,占世界新装量4.2万台的93%
• 电梯保有量和新增量世界第一:>100万台
– 全世界:900万台;
– 2008中国新增约18万台
• 扶梯保有量和新增量世界第一:15万台
– 全世界:50万台
– 2008中国新增约2万台
• 作为世界最大的制造国和使用国,理应为这类设备的节能减排工作作出自己的贡献
电梯驱动技术发展历程
技术里程碑 (中低速梯)
1970s: 液压和双速有齿轮传动(能量自然反馈)
1980s: 液压和有齿轮“变压变速ACVV”
1990s: 齿轮传动交流“变频变压变速VVVF”
2000s: 无齿轮 “永磁PMSM+变频变压变速”

技术里程碑(高速梯)
1970s: 带旋转发电机的直流电机(能量自然反馈)
1980s: 带静止变流器的直流电机
1990s: 交流无齿轮马达“变频变压变速”
2000s: 无齿轮 “永磁 + 变频变压变速”
电梯能效工作进展
• 建筑物能耗占城市总能耗80%,近年来发达国家开始规范建筑能耗
• 由于电梯在建筑物中的消耗比例非常小,目前有关建筑物能效法规和建筑物能耗评测项目中还未涉及
• 电梯能耗研究
• 从整个产品周期考虑
– 减少制造和安装能耗
– 运行能耗:占总能耗的80%,为主要工作目标
– 维修和保养
– 产品拆除和回收能耗
• 2005年瑞士能效管理局SAFE研究报告发现
– 电梯的主要能耗是待机能耗
– 继电器控制的住宅梯效率最高
– 带有储能或下拉式油缸的先进液压梯和曳引式电梯能效几乎一致
– 对电梯的额定功率没有定义,主机标识的功率不能用于比较产品
– 不同产品的耗能比较十分困难,也缺乏相关的标准
• 瑞士的研究成果只能提供研究的方法和思路,结果不一定在中国正确
瑞士研究
• 由多个瑞士的能源效率管理机构和迅达参加
• 以33台电梯为样板
– 驱动:异步机+蜗轮蜗杆与双速/ACVV/VVVF组合、PMSM
– 液压: 中心、侧向直驱/间接
– 悬吊:中心/偏心、背包架
– 绕绳比:1:1/2:1
– 有机房/无机房
• 能耗测试:运行+待机
• 由于单台电梯的负载是随机的,交通模式不同,会导致其能耗有很大的差异。目前的方法主要是根据建筑物的类型查出参照运行次数和全年运行时间8760h以及电梯类型,通过计算得出全年能耗,为客户电梯选型提供依据






电梯具体节能技术措施
• 降低待机能耗,在系统空闲一段时间后
– 关闭照明、通风
– 将照明改为LED等高效照明光源
– 关闭变频器
– 将控制系统转为“休眠”状态
– 关闭开门机马达电源(取消开门机锁闭力)
• 运行能耗
– 跟随驱动技术发展方向,该方向与节能方向一致
– 改进马达的结构和用材设计,提高能效
– 能量回馈
– 根据实际载荷情况,在25~50%范围内调整平衡系数
(需注意核算曳引力,并采取其它技术措施:称重)
– 制动器电子式驱动
– 使用滚轮导靴替代滑动导靴
– 控制系统交通调度方案(目的地派梯控制)
– 具有能耗意识的电梯选型(速度、加速度、额定载重量)



ISO 25745
• 第一部分ISO 25745-1:电梯能耗测试方法
– 制定一个统一的测量方法
• 运行能耗:上下端站运行一个周期的能耗;为至少10个周期的平均值
• 待机Standby能耗和空闲Idle能耗
– 提供一个能耗计算工具
– 验证交付和运行期间的能耗是否和厂家提供的一致性
– 目前还未成为正式国际标准
• 第二部分ISO 25745-2:能耗分级标准
– 目前还未做
– 基于建筑物的类型,选择运行时间和待机时间
– 为电梯建筑物的电梯选型提供能耗指标





思考问题
1、能耗效率是不是要政府监管
并作为市场准入指标?
2、新技术是否经济可行、
有良好的投资回报?
怎样解决目前的现实问题:
节电不省钱?
#p##e#超级电容在电梯上的应用展望
一、超级电容原理
超级电容 — SUPER CAPACITOR
(SPSCAP)
双电层电容—Electric Double Layer
Capacitors (EDLC)
纳米电容 法拉第准电容 三级板结构
2009年3月25日上海“电梯EMC问题研究”研讨会,介绍了与电梯相关的13项最新技术,对超级电容器进行了简介。
超级电容是根据电化学双电层理论研制而成的,又称双电层电容器,具有超级储电能力;可提供强大的脉冲功率物理二次电源。
基本原理
当向电极充电时,处于理想极化电极状态的电极表面电荷将吸引周围电解质溶液中的异性离子,使这些离子附于电极表面上形成双电荷层,构成双电层电容。
两电荷层的距离非常小(1nm 以下),加上采用特殊电极结构,使电极表面积成万倍的增加,从而产生极大的电容量。


二、性能特点及注意事项
1、超大电容量(法拉级) 1法拉=10万微法拉
容量范围: 0.1F~5000F
2、电压类型:2.7V~5V;超低串联等效电阻,功率密度是锂离子电池的几十倍,适合大电流放电。
3、超长寿命,长达40万小时以上,是Li-Ion电池的500倍,Ni-MH和Ni-Cd电池的1000倍。
4、温度范围宽:-40℃~+70℃
一般电池是: 0℃~+40℃
5、体积小容量大,电容量比同体积电解电容大30~40倍,其脉冲功率比蓄电池高近十倍。
6、循环充放电寿命达数十万次以上,漏电流非常小,超强荷电保持能力,充放电线路简单,充放电能力强。
7、充电迅速快,使用方便、无污染、免维护,10秒内达到额定容量的95%,无记忆效应。
8、失效开路,过电压不击穿,安全可靠。
★ 主要优点:
小体积下电容量达到法拉级;
无须特别的充放电控制电路;
过充、放电不影响寿命构成;
环保绿色能源、电容可焊接。
★ 主要缺点
使用不当会造成电解质泄漏;
和铝电解电容器相比内阻较大,因而不可以用于交流电路。
★ 使用注意事项
1、超级电容有固定极性,使用前应确认。
2、应在标称电压下使用,超过标称电压易导致电解液分解,电容器发热容量下降,内阻增加寿命缩短。
3、高频率的快速充放电会导致电容器内部发热,容量衰减,内阻增加,甚至会导致电容器损坏。
4、超级电容器被用做后备电源时:内阻较大,在放电瞬间存在电压降 ΔV=IR
5、不可处于相对湿度大于85%,或含有毒气体的场所,这些环境下会导致引线及电容器壳体腐蚀,导致断路。
6、超级电容器不能置于高温、高湿的环境中,应在温度-30℃~+50℃、相对湿度小于60%的环境下储存,避免温度骤升骤降导致损坏。
7、超级电容器进行串联使用时,需采用均压措施。
三、国内外现状
★ 超级电容器通常耐压为 2.5~3V,也有耐压为1.6V的产品。主要有美国、德国、日本、韩国、俄罗斯等国家生产。
★比较知名的公司有:Maxwell 、Epcos、Nesscep、ELNA、NEC、松下等。
★容量上国外达到 2.7V/5000F。
★ 国内主要有锦州百纳电气、锦州盛美、锦州凯美、北京合众汇能、北京集星科技、深圳富威康、宁波富达、陕西铱星科技等企业。
★ 国内锦州超容接近国外水平,体积在逐年减小,120F/2.7V已做到直径20毫米高40毫米。

四、应用场合
超级电容器作为大功率物理二次电源,应用领域十分广泛。在特定条件下可部分或全部替代蓄电池,应用在某些机电设备上,可使其产生革命性的进步。
主要应用领域:★ 清洁能源
★ 工业和交通
★ 军事应用
★ 电子通信
(一)清洁能源
1、风力发电储能
可用于电力调峰,控制风力发电输出的有功功率,且具备向电力系统提供频率控制、快速功率响应等辅助服务能力。
超级电容储能系统具有快速功率吞吐能力和灵活的四象限调节能力,不仅可抑制风电机组产生电压波动,还能有效降低和缩短有功功率振荡幅值和时间,使风电机组输出平滑。


2、太阳能发电储能
要求存储容量大,工作寿命长,可进行瞬间充电以适应天气变化,无记忆效应。
超级电容器因其具有十万次以上的深度充放电循环寿命,高可靠性和免维护等特点,使得替换蓄电池成为可能,并可大大降低太阳能发电系统的运营成本。
美国最大太阳能发电项目——“太阳能之星”

(二)工业和交通
1、不间断电源(UPS)
★ 不间断电源在工厂的重要地方(半导体制造业)是不可缺少的,超级电容在短时间为系统失误提供保障,是一个非常理想的器件。
★ 市电电压大起伏可能导致系统混乱,或造成自动装配线严重损坏;在医院手术室,可能危及人的生命。超级电容可在短时间内,具有短时释放高功率的能力。
2、电能质量调节
★ 电能质量问题越来越受关注,UPQC 能补偿负荷产生的谐波、无功功率或三相不平衡。
★ 用超级电容作储能元件,不但能补偿负荷产生的谐波、吸收无功功率,且可补偿负荷的波动功率;当系统发生短时供电中断或电压暂降时,能在短时间内向负荷提供全部功率。
★ 超级电容储能电能质量调节器能有效改善负荷品质,提高电能质量。

3、应急照明备用电源储能
为确保应急照明灯节电和不间断性,采用超级电容器作为储能元件构成高可靠备用电源。
4、太阳能交通标识储能
超级电容白天充电储能晚上放电;太阳能交通标识将成为道路交通标识的发展趋势。
5、空间储能
在太空中采用超级电容作为储能元件,飞行器对着太阳充电储能,位于地影期时放电。
6、电动车、混合动力汽车、燃料电池汽车
★ 机车启动
★ 机车供能
★ 机车能量回馈

超容电动车

超容公交车和超容叉车

7、智能三表后备电源
将水、电、煤气表出户统一管理,实现微机自动检测、计量收费、开启水阀等。
将超级电容封装在水、电、煤气表中,同时外接干电池供电。
8、 电站及变电直流控制
★ 直流屏在终端变电站、配电系统中作为操作、控制及保护电源。
★ 传统的直流屏
① 镍镉蓄电池直流屏,单个电池放电特性不一致,使用后差别变大。
② 密封铅酸池直流屏,对温度敏感,过度放电影响电池寿命。
③ 电解电容储能直流屏,容量只有数千微法,事故分闸的可靠性差。
★ 超级电容器具备的优良性能解决这些问题
(三)军事应用
军用重型车辆低温启动
导弹、鱼雷等制导武器电源系统
激光炮、电磁炮等定向电能武器
(四)电子通信
电信和数据通信备份电源
玩具电源等
五 超级电容模块
★ 超级电容具有快速存储释放能量、容量大等优点,但其电压低(2.7V)
★ 实际应用常采用串并联后组成的超级电容模块
1.多个单体超级电容器串并联模块


2.不同电压和容量等级的超级电容器模块




3、美国 Maxwell Technologies
BOOSTCAP® 品牌产品

六、在电梯上的应用
★ 超级电容在应急电源、开关电源等领域性的应用技术上比较成熟,借助在其它行业的成熟应用。
★ 超级电容在以下几个方面可应用予电梯上,以提高电梯的安全可靠性,特别是在停电就近平层。
★ 无机房电梯的救援方面会产生积极有效的作用。
(一)应急备用电源
停电就近平层
用于开关门
用于呼叫和照明系统
无机房电梯救援
(二)驱动变频器
★ 我国电梯的传动方式分为有齿曳引和无齿曳引二大类,变频器大多为二极管整流交-直-交驱动方式;
★ 为了能回馈电能,有的采用单PWM变频器加装电能回馈装置的方法;
★ 在一些高性能的电梯,上海三菱、OTIS等公司采用双PWM双向可逆变频器驱动;
★ 变速度电梯、矩阵变频器,是一种高传输效率值得大力提倡发展的驱动方式。
1、电梯常用变频器

2、单PWM变频器+电能回馈装置

3、双PWM双向可逆变频器

(三)问题讨论
1.电容的作用
(1)滤波
(2)储存电机回馈的能量
2.电容电压
(1)直流平均电压:220×2.34=514.8 V
(2)输出直流电压:220×2.45=539 V
3.选择电容电压时应考虑泵升电压,电机回馈的电能并非直流电,为脉动电流,有时电流还不连续。
4.智能电表在发达国家获得广泛应用,对提高电能质量、电源分类和电力自动化管理水平有极大的帮助。
★ 我国科技部、国家电网公司都非常关注,希望国内能尽快采用该技术和装置,以提高我国电网质量和用电管理水平。

带均压串联超级电容组

带均压超级电容

带均压六个超级电容串联

结束语
★ 超级电容作为一种新型储能元件,经过短短几年的发展,在清洁能源、工业和交通、军事应用、电子通信等领域获得广泛应用。
★ 将超级电容作为电梯应急电源是可行的,有能力和兴趣的电梯厂家和配件单位可以尝试。
★ 将超级电容应用到变频器中,在考虑耐压、性价比、电极材料等因素之外,借助在风力发电、太阳能储能和电动汽车上的成功经验;
★ 可针对不同方案进行研究,以期促进超级电容在电梯驱动变频器上的早日应用,达到进一步节能降耗的效果。
#p##e#中国大陆电梯市场与电梯行业
•庞大的电梯市场


•强大的电梯生产能力



•与国际接轨的技术标准

•低成本的生产结构
•服务取代制造成为主业
#p##e#突破现有安全规范的电梯产品进入市场的程序介绍
1 概述
据统计,2007年我国
总人口为 13.21亿
城市人口 5.92亿(占44.9%)
流动人口 2.00亿
据估计我国每天有15.84亿人次乘坐电梯,电梯是人们社会活动中不可缺少的垂直运输工具。
如果没有严格的安全技术规范和标准的约束,这对如此众多的乘梯人员将存在很大的安全风险。

现行的规范与标准能保证电梯安全
我国现行的有关电梯安全技术规范和标准是电梯制造、安装、试验、检验、维修和改造的基本依据,也是世界上安全要求比较严的电梯规范之一。实践证明,按照现行安全规范和标准要求制造和安装的电梯是安全的电梯。
我国的电梯安全技术规范还是较严的

滞后的标准不能阻止技术发展
2008年底我国电梯的保有量已近115万台,世界上的品牌电梯企业在中国云集。
进入21世纪后,新技术、新工艺、新材料发展迅速,电梯行业不断出现了突破我国现行的安全技术规范与强制性国家标准规定要求的电梯(含自动扶梯和自动人行道)或者部件。
我国现有的电梯安全规范与标准已不能适应这些电梯新技术的快速发展,有必要制定新的安全管理程序,以鼓励和支持企业开发新的产品投放市场。
制定基于性能的电梯安全规范是目前世界上电梯安全管理的趋势
欧洲1997年实施的95/16/EC《电梯指令》至今已有10多年了,指令规定了电梯的基本安全要求和必要的评估程序。新的电梯产品只有满足了指令规定的基本安全要求,才能保证有较高的安全水平,可以投入欧洲市场。
2007年初,北美(美国和加拿大)颁布了ASME A17.7/CSA B44.7《基于性能的电梯和自动扶梯安全规范》 (Performance Based Code for Elevator Safety) ,提供了能保证电梯使用新技术后具有同等或超过ASME A17.1/CSA B44规定安全要求的新的评估方法(PBC方法)。
ASME A17.7/CSA B44.7的三种评估方法
符合ASME A17.1/CSA B44的全部要求
部分符合ASME A17.1/CSA B44的要求,其他等效符合电梯全球基本安全要求(GESRs——Global Essential Safety Requirements for Elevators)
符合电梯全球基本安全要求
2 电梯新产品进入市场的程序
自2005年以后,国家特种设备安全监督局根据我国电梯的技术和市场的发展要求,参照了国际上先进的电梯安全管理模式,已逐步完善了有关突破我国现行安全技术规范与强制性国家标准规定要求的电梯(含扶梯和人行道)或者部件进入市场的审批程序。
现将该程序介绍如下:
具体步骤:
一、 向特种设备局提出申请,并提供:
项目的技术介绍(含研发中试验情况);
风险评估报告(参照GB/T 20900-2007);
建议的型式试验、安装监督检验及定期检验的内容、要求、方法与合格的判定规则;
其他国家或地区的试验及认可情况与相关文件(如果有)。
二、约请电梯型式试验机构进行验证试验
商定试验验证的内容和方法;
进行试验,结束后型式试验机构提出:
试验验证报告;
等效安全性评价报告
(含是否予以批准的建议)。
三、特种设备局受理,委托电梯分委会组织专家进行审议,并由电梯分委会提出等效安全性评价意见。
如果审议后,需要补充提供资料或补充进行试验的,申请单位应当按要求完成规定的补充工作,由电梯分委会补充审议后提出等效安全性评价意见。
等效安全性评价意见的内容:
该产品是否与国家现有安全技术规范与强制性国家标准具有等效安全性;
型式试验、安装监督检验及定期检验的内容、要求、方法与合格的判定规则。
电梯分委会审议前的准备工作:
初步审核申请材料;
确定初步沟通、函审及参加审议会议的专家,特别考虑申请单位对参与人员的回避请求,以保护申请单位的知识产权。
与有关专家提前沟通,甚至必要的函审。


3 目前电梯分委会已开展的工作
至今电梯分委会已对涉及10家企业的11项电梯技术或者产品进行了安全技术的审议。 其中9项通过,1项未通过,1项建议按个案处理。
通过这些审议工作,加速了新技术在电梯上的应用过程,尤其是,体现了我国特种设备安全技术管理的模式逐步与国际接轨(如欧洲的CE认证,美国和加拿大对电梯新产品实行的PBC新方法等)。
已通过的一些等效安全评价项目:
Aramid曳引绳及悬挂系统
Poly V-Belt曳引钢带
Talon驱动系统
滚轮驱动无机房电梯
6mm钢丝绳及悬挂系统
变速电梯系统
制动器与曳引轮不在同一侧的无齿曳引机
驱动主回路无主接触器的电气系统

















6)额定速度可变的电梯
乘客的基本要求:减少等待时间和乘坐时间,且乘坐舒适;
改善方式:提高额定速度,增加电梯台数;
实际的限制:空间有限,能耗增加限制;
新的理念:在曳引能力允许的情况下,通过提高额定速度,实现额定速度可变。
主要特点:
根据轿厢载重量,灵活引用曳引机余力(在额定载重、额定速度下配置的功率不变);
中间负载(低于额定负载时)有数档高于额定速度的运行模式;
安全部件及井道空间能适应最高中间负载速度的要求。


电梯分委会正在讨论的一些问题
聚氨酯缓冲器的寿命问题
远程监视和故障类别
能量回馈装置(先进性、安全性、可靠性、经济性)
电梯能效评价方法研究
……
推进我国电梯行业的技术创新,人人有责
安全要求只明确需要达到的安全目标,不规定怎么去做,应该允许技术创新和进一步的技术发展。对即使不是按照地区、国家和区域安全标准的设计的电梯,但仍能保持同等的安全水平。
致力于缩减和消除了技术贸易壁垒。
协助申请企业提高新产品的安全性能,使投放市场的电梯新产品具有等效或超过现有安全技术规范和标准的安全性能要求。
#p##e#电梯应急安全与节能电源方案


能量回馈装置工作原理
v 节能原理
§ 电梯制动时,由高速往低速减速,动能转化成再生能量。重量越大,再生能量越大。
§ 电梯质量较重的部件下行时,势能转化成再生能量
§ 电梯的梯速越快,楼层越高,变频器效率越高,再生能量越多,将其回馈到电网中,可节省大量电能。
• 永磁同步电机转换效率大于三相异步电机。
• 无齿轮电梯转换效率大于有齿轮电梯。
节能效果
v 实验地点:
§ 厦门
v 实验条件:
§ 空载、25%、50%、75%、100%配载
§ 工作图谱:底层-次底层-中间层-次顶层-顶层,梯速2.5m/S 循环
§ 测量电梯的节能率(仅为主控系统、门机系统及马达驱动的节能效率,不包括轿厢照明、风扇、底坑及轿顶的检修盒的负载装置)
v 测试数据:
§ 电梯运行次数:1000次
§ 电梯总用电能:81.6度
§ 回馈电能: 36.2度
v 测试结果:
§ 运行14小时55分,共计1000次
§ 节能率:44.36%
应用益处
v 由于制动电阻不再作为主耗电,电梯间温升明显下降,可以节省了空调设备及空调耗电费用。
v 由于一般情况下电阻不工作,避免了能量浪费,同时由于电梯间温度下降,电梯变频设备故障的机率要低很多。
v 符合社会的环保节能需求
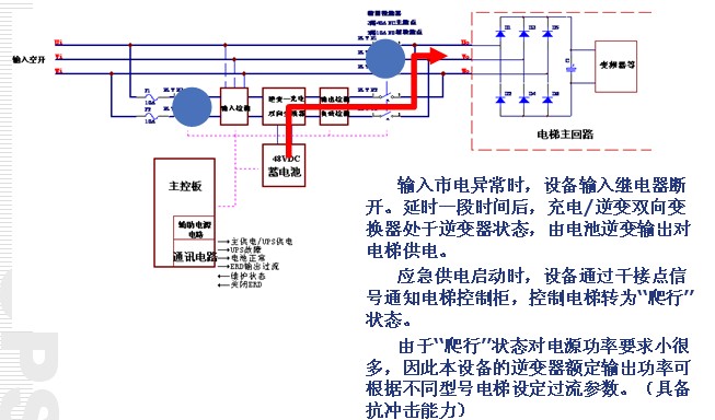
Ø 电梯应急平层电源
1. 产品概述
v 电梯紧急救援电源装置(应急平层电源)是一种应急供电装置,当电网供电发生故障时,本设备可为电梯提供短时间的供电,让电梯实现自动救援(让电梯轿厢慢速运行到就近楼层,打开厢门和层门,让乘客安全离开)。

2. 产品工作原理

2.1 输入市电检测(市电正常)

2.2 输入市电检测(市电异常)

2.3 主要的工作状态转换逻辑

2.4 主要的工作状态转换逻辑
v 输入市电异常后,主供电回路及充电回路立即断开;
§ n秒后应急供电启动,对电梯供电。
§ 如果在n秒内输入市电又恢复正常,设备停止向应急供电状态的转换,恢复为主供电回路供电状态。
v 一旦应急供电启动(n秒之后),即使输入市电恢复正常,本设备也将完成一个完整的救援过程,然后停止应急输出,5秒后恢复主回路供电。
v 救援完成后,输入市电仍然没有恢复,本设备转入待机状态,待机电池放电电流小于1mA。
v 待机状态,输入市电一旦恢复正常,本设备自动启动,转入主回路供电状态。
2.5 主要的工作状态转换逻辑
完整的救援过程是指:
条件1:应急供电输出启动,达到要求的时间后本设备认为应急供电过程完成,自动关闭输出。
条件2:应急供电过程中接收到控制柜通过干接点信号通知的关机信号后,延时一定时间,自动关闭输出。
Ø 三方通话系统不间断电源
三方通话系统专用不间断电源主要为轿厢型电梯的三方通话装置、警铃、应急灯、摄像机、SMOS信号采集部件等提供正常的工作控制电源,在市电正常时由电网给这些设备提供能量,而在突发停电、外部输入电源异常等情况下,由备用电池提供应急不间断供电,保障电梯相关设备在规定的电网异常时间内正常工作,确保电梯乘坐人员的安全。
主要特点
v PWM脉宽控制技术
§ 以PWM脉宽控制为核心,实现电源的快速和精确控制,整机性能优异。
v 先进的在线式设计技术
§ 实现“0”毫秒双向切换,保证负载的可靠工作。
v 高效率的环保设计
§ 采用新颖、高效率的电路设计,整机体积小、重量轻、投资成本低、可靠性高,是新一代的环保型电源产品。
v 全面的启动功能
§ 具备电池态启动功能和来市电自启动功能,适合电梯现场安装应用和无人值守的特点。
v 完善的保护措施
§ 设计了输出过压保护、过温保护、电池欠压告警及保护和输出短路保护等一系列保护功能,确保设备在各种条件下的可靠运行。
v 完善的管理和告警功能
§ 提供工作声光报警功能,带有市电工作、各路监视电源指示,以利用户管理。
v 简易的电池更换设计
§ 采用前门开启正面操作方式,便于安装操作和维护,节省时间,大大降低用户维护成本。
#p##e#
轴承新寿命理论及其在电梯上的应用
上海桑塔斯机电有限公司 曾晓东
摘要:滚动轴承是最重要的基础机械零件之一,其使用性能往往对主机的性能起决定性的作用,然而,轴承的寿命计算和估计却又是一个十分复杂的问题,至今仍在不断发展和完善之中。本文对新版 ISO 281:2007 正式公布的新寿命理论进行介绍,同时结合电梯部件的设计计算实例说明目前轴承选用计算中存在的严重问题, 解释了电梯部件中轴承寿命经常达不到使用或者设计要求的主要原因。
一、 引子
英国机械工程学会将 2008 摩擦学希望奖的金奖颁发给了 SKF 集团的产品工程部的董事 Ioannides 教授。
摩擦学是研究摩擦、磨损和润滑的科学,Ioannides 教授有时在荷兰有时在英国,由于其包括滚子接触疲劳在内的大量工作而获得普遍的尊敬, 他是目前已广泛流传并已收入 ISO 281:2007的 SKF 轴承寿命理论的创始人,他于 1981 年加入 SKF 并且在1984 年首次发表其关于滚动轴承疲劳寿命的新理论。
他也是 ISO 281:2007 (Rolling bearings -- Dynamic load ratings and rating life)发展的背后推动力,这一标准从根本上取代了ISO 281:1990,及其 2000 年的修订版,这一标准由于首先被德国标准 DIN ISO 281采纳而广为流传, 并获得了全世界每一个主要的轴承制造商的认可。ISO 281:2007 基于多次进行修订后形成的 SKF 寿命理论,而这一工作是由 Ioannides 和 Harris完成的。
1985年 Ioannides首次提出轴承的疲劳极限,并指出它是影响轴承寿命的主要因素,在后来的研究中,最主要的突破是量化了润滑和污染的作用。巧合的是,1962 年颁布的首个关于轴承寿命计算的 ISO 标准也是采用了 SKF 的理论, 是由 Palmgren教授和 Lundberg 教授完成的。
Ioannides 拥有雅典技术大学机械和电气工程硕士学位和伦敦帝国学院颁发的应用力学硕士和博士学位,除了 SKF 的工作他还是帝国学院的机械工程访问教授。
在获奖后的感言中,Ioannides 教授说道: “摩擦学是科学技术知识中重要的领域,并非仅关乎节能这一紧迫的问题。 我感到非常荣幸,我的同事们也为我高兴。”摩擦学会主席 Jost博士说: “Ioannides 教授是一个出色的人,他成功地把摩擦学的理论、技术和应用融为一体,并且得到了全世界的认可,这一奖项就是为了表彰他的成就。”
SKF 首席执行官 Tom Johnstone 先生闻讯后表示:“完善的摩擦学是许多工业领域中进行完善的滚动轴承及相关产品的设计、发展和应用的基础,Ioannides 教授的获奖延续了 SKF 成长为今天的知识型专家型公司的一贯传统, 我们为他以这种方式得到认可感到高兴,同时也为他在 15 年来成为我们研发团队的成员而感到无比自豪。 经过了近 100年的努力, SKF 又一次在轴承行业确立了标准。 这是对我们成长为知识型工程公司的实践检验, 毫无疑问, 新的 ISO281标准显示了 SKF 确实是轴承技术知识的领导者。”
二、 历史故事
国际标准化组织(ISO)现已在最新版的轴承动态负载标准 ISO 281: 2007中采用了 SKF 的轴承寿命理论。这是继 2004年在德国标准 DIN ISO 281, Beiblatt 1和 4 中采用 SKF 寿命理论之后的又一项举措。
这一决定经过了六年的深思熟虑, 并经过了多个ISO组织的批准核实。 完稿于2006年3月并投票通过, 新的ISO公式已于2006年 7 月颁布。
SKF 的新寿命理论在 20 世纪 80 年代由 Ioannides 教授和 Harris 教授提出,在以后的数年中 SKF 经过更多的知识积累、测试和研究并不断修改。 该理论最初介绍了疲劳极限是影响轴承寿命的主要因素, 深入研究后, 更是以量化的方法确定了润滑和污染对轴承寿命的有害影响。
新的 ISO 标准将用新的公式表示,根据SKF的寿命理论和后来SKF发表的研究成果中的原则将疲劳极限、润滑和污染情况等均考虑在内。
1962 年,国际标准化组织 ISO 将经典的 L-P 公式作为轴承额定动载荷与寿命计算方法标准列入 ISO/R281 中。近年来,由于材料技术、加工技术、润滑技术的进步和使用条件的精确化,使轴承寿命有较大提高,ISO 适时地给出了含有可靠性、材料、运转条件和性能等修正系数的寿命计算公式。八十年代以来 Harris 等学者在大量试验的基础上提出接触疲劳极限的新理论, 将寿命理论又向前推进了一步, 使轴承寿命计算方法不断完善。
回顾百余年来的历史, 轴承寿命理论的研究经历了四个阶段:
第一阶段是 1945 年以前的 Stribeck 的载荷分布理论。Stribeck 首次将 1881 年德国科学家赫兹(Hertz)完成的弹性接触应力计算理论引入到轴承领域, 并建立了轴承承载能力的设计规范, 但那时还没有接触疲劳的概念, 因此轴承承载能力的计算主要还是基于静态的接触应力水平, 就像其他大多数工程领域中的静态力学问题一样。
第二阶段是 1945~1960 年间 Lundberg和 Palmgren轴承疲劳失效理论。 在此期间,首先是瑞典工程师威布尔 (Weibull) 在 1930年代对于滚动轴承的寿命进行了大量的实际试验研究,发现轴承寿命相当离散,最短和最长者起码相差几十倍之多, 并为此总结出数学上的概率分布模型, 这就是今天赫赫有名的“威布尔分布”模型,这一数学模型已经被广泛应用于可靠性和材料疲劳等类似于链条断裂这样的串联概率事件的领域中。在此过程中 Goodman(此公在弹簧领域路人皆知)也做出了显著的贡献。
在此基础上, 为了确定威布尔分布模型中的各个参数, Lundberg 和 Palmgren进行了大量的试验和数学推导工作, 并最终分别于1947年和1952年发表了其著名的滚动轴承动态负载理论即最大动态剪切应力理论,该理论认为疲劳裂纹开始于接触次表面下平行于滚动方向的最大交变剪切应力所作用的区域内的材料薄弱点, 并逐渐扩展到表面,产生疲劳剥落。破坏概率是次表面下循环最大剪切应力幅值、深度 、应力体积和应力循环次数的幂函数。
最大交变剪切应力所在的深度影响着材料的疲劳破坏概率。 最大交变剪切应力所在的深度越大, 相应地裂纹扩展到表面的时间也就越长。此外,由于材料在冶炼过程中不可避免地形成和含有非金属夹杂物、 气体空穴等, 这些非金属夹杂物和空穴构成了材料疲劳失效的潜在威胁。从概率统计的角度, 材料受应力体积内所含的非金属夹杂物和空穴的数量越多, 材料疲劳失效的概率就越大。对于特定使用的轴承材料,受应力体积越大,循环次数越多,都可使材料的疲劳破坏概率增大。
通俗地来讲, 这一理论是裂纹从内向外扩展的理论,或者说是“内因理论”。因此在表面加工良好,润滑良好的条件下,轴承材料及其组织状态成为决定性的因素, 如何减少裂纹源的数量及增加裂纹源的深度成为努力的目标。实践证明,这一理论与各国试验结果相当吻合, 从而得到全世界的广泛承认并于 1962年被 ISO 标准草案采纳(直到1990 正式版) ,这一理论直到今天仍然完全有效, 并且是此后世界各国花样繁多的各式滚动轴承寿命理论的最重要基础, 实为不折不扣的经典。

如何减少钢材中的缺陷呢?试验表明钢材中的非金属夹杂物尤其是氧含量对寿命影响很大(见表 1) ,要解决这一问题,冶炼技术首当其冲,以日本为例,在 20 世纪 60年代引进真空脱气设备,70年代对引进的技术加以改进,80 年代一直致力于开发所谓的长寿命、 超长寿命轴承钢, 如 NSK开发的 Z钢就是其最新的成果之一。 该钢是在大量的试验基础上通过改进炼钢设备及冶炼条件而开发出的成本不高的优质钢种,其钛含量<0.004%,氧含量<9ppm,硫含量<0.0008%(为降低轴承噪声)。与一般的真空脱气钢相比,其轴承寿命提高了一倍。在此基础上,对电炉底吹法、LF 排渣结构、脱氧方法、LF 和 RH 中的温控和搅拌进行改进,确立了一套山阳新炼钢方法SNRP(SANYO New Refining Process),使钢的氧含量控制在 5ppm 左右,且使用一套全新的夹杂物评定方法(NSK—ISD2法),控制夹杂物的尺寸、形态和分布,使夹杂物分散均匀的同时,消除大型夹杂物,开发了超长寿命高可靠性轴承用钢简称 EP钢(Extremely Purified Steel),其寿命为Z 钢的 5 倍,为一般真空脱气钢 10 倍,寿命达到普通电炉钢的 30倍以上。
当然,除了降低轴承钢的含氧量,改变钢材化学成分, 提高热处理质量等也能大幅度改善材料的状态, 自然也能大幅度提高轴承寿命, 上述的这些事实均清楚地表明了经典的 L-P 理论的正确性。
我国轴承钢材质量处于落后的状态, 直到 GB/T18524-2002 的颁布才规定轴承钢的含氧量应小于 15ppm, 也就是全面进入真空脱气轴承钢的时代。因此,广大机械设计人员使用的《机械设计手册》 《轴承产品样本》等工具书只要不是最近几年出版的,其中的轴承额定动负荷数据几乎都是基于普通电炉钢的, 当然也就要明显小于国外的轴承样本中的数据。
第三阶段是 1960~1980 年间的寿命修正理论。随着轴承钢冶金质量的不断提高,材料内部出现裂纹的概率越来越小, 这个时期, 人们发现有些轴承在经过长时间的运转后,也可以先从表面上生成裂纹,然后向深处扩展, 轴承的疲劳寿命与弹性流体动力润滑油膜厚度和零件表面的粗糙度有关。 这一理论首先由 SKF 北美工程师 Tallian提出,并认为轴承寿命既决定于经典的内部裂纹的扩展也决定于表面裂纹的扩展, 且认为两者互相独立, 因此符合独立事件的概率乘法定律。
通俗地说, 这一理论就是裂纹由外向内扩展的理论,或者说是“外因理论”。当然,根据唯物辩证法, 外因也要通过内因才能起作用!很显然,这一理论与表面加工状态,润滑情况以及污染颗粒等外部条件有关, 换句话说,就是模型中包括了表面粗糙度,弹性流体动力润滑油膜厚度, 污染物颗粒等因素的作用。
在近代的轴承加工技术中, 由于表面加工质量越来越好, 确实也能大幅度提高轴承的寿命, 表 2和表 3分别是球轴承和圆柱滚子轴承的寿命与表面粗糙度的关系。 这些事实充分证明了“外因理论”的正确性。


在我国,由于超精技术和设备的不足,曾经严重影响了轴承产品的国际竞争力。 举例来说, 国产深沟球轴承的寿命一般在计算寿命的3~5倍, 可靠度为96%~97%以下,而国外名牌产品的水平一般在 8 倍甚至十几倍,可靠度 98%以上;圆锥滚子轴承,国产水平一般为计算寿命的 1~2 倍,甚至很多产品达不到计算寿命,可靠度 90%左右, 而国外名牌产品的水平一般达到计算寿命的 4~6 倍,甚至 8 倍以上,可靠度达到了 98%以上。
究其原因,除了结构设计、轴承钢材的质量和热处理工艺外, 终加工技术落后造成零件表面质量较差是最根本的原因。 与球轴承相比, 圆锥滚子轴承的表面超精机床设备和超精工艺及其质量的差距尤其大, 迄今为止,国内批量生产精度高于 II 级的圆锥滚子仍有不少困难, 这也就解释了为什么国产圆锥滚子轴承与国外名牌产品的差距要远大于球轴承差距的原因。 国产球面滚子轴承的加工问题更大, 甚至根本就不能生产高精度的产品。应该指出,表面加工质量不仅影响轴承寿命, 还严重影响到轴承的振动和噪声,除了传统的表面粗糙度参数,还引进了波纹度这一参数,研究表明,噪声与波纹度的关系更为密切。
在此期间, 滚动轴承设计手段和方法也有了巨大的进步, 最明显的就是随着计算机技术的飞速发展,普遍使用了 CAD 技术、有限元(FEM)技术以及最优化技术来完成各类轴承的设计和再设计工作, 尤其是有限元技术更是从理论推导到程序编制均成为世界范围内的热潮, 并成功地应用到了各种过去根本无法求解的高度非线性的力学问题, 例如对于滚动轴承至关重要的接触问题就是其中之一。 另一个重要的问题是弹性流体动力润滑理论, 也是在数值求解技术成熟后才得到了最后的完善和发展。图 1、图2中以圆锥滚子轴承为例说明了修正母线形状对于接触应力分布的改善情况。

各大轴承公司纷纷推出经过优化的所谓加强型轴承, 截至目前, 除了深沟球轴承、推力轴承外, 其他多类轴承均已在常用的尺寸系列和范围内淘汰了“传统型”结构,而以“加强型”结构成为其基本型号。如圆柱滚子轴承和球面滚子轴承甚至“加强型”都推出了 2~3 代!大家选用轴承时最好都要选用后置代号带“E”的“加强型”型号,因为在同样的承载能力下其价格更便宜。 Tallian 理论的最大贡献就是促使 ISO 281 在后期的草案修订版(1977)中给出了修正寿命的概念。即式(1)所示的公式。
L=a
式(1)中的L10 就是经典理论中 90%可靠度下的寿命, a1 为其他可靠度下的修正系数, a2 为材料系数, a3 使用条件系数,也就是与表面状态,润滑情况,污染情况有关的系数。
由于a1 是一个纯粹数学理论下的系数,其值可以由理论计算得出,因此一经提出就没有人对此有疑义。问题是a2、a3 则无论是Tallian本人还是ISO均未提出具体而又严密的数值和试验结果, 仅仅给出了原则性的意见,这样一来,a2、a3还是未知数,从而仅仅成为了一个概念,推荐给各个轴承公司自行理解和执行,由此,轴承寿命理论也就被推荐进入了下面将要介绍的群雄并起的战国时代。
第四阶段是 1980~2003 年间以Ioannides 和 Harris为代表的新寿命理论。在这一阶段中, 真可谓百花齐放, 百家争鸣,围绕的都是a2、a3的解读,主要流派有 2种,一是有的公司将其合并为一个系数,以综合考虑到加工、润滑、污染等的影响,例如a23、aSKF、aNSK等,另外的(例如Timken)则分成a2 a3 a4 a5 a6等更多的系数分别考虑材料、加工、安装不同心、润滑、污染、 轻载荷等因素的影响并分别给出各个系数的取值图表。 在美国甚至至今仍以普通电炉钢为基准, 因此计算的基本额定寿命也是针对普通电炉钢的,这样的话,就有必要坚持使用材料系数, 以反映轴承钢精炼技术所带来的成果。
前者的典型代表就是 SKF 公司,发表于 1985 的 Ioannides 论文中用的系数是aSLF ,明眼人一看就知道这分明就是aSKF的“通假系数” 。
这一理论的最引人注目之处是提出了“无限寿命”的概念,也就是象其他承受交变载荷的机械零件一样, 当应力小于某一数值时,轴承可以无限运转!为此从 1989 年开始 SKF 公司就在其轴承样本中给出了每一轴承的疲劳极限载荷的具体数值, 也就是样本中的PU 数值。PU(在 ISO 标准中表示为CU )的计算有一套完整而复杂的理论公式,其计算方法作为最新标准的附录列出,不过也给出了简易的计算方法, 可以由额定静负荷的数值简单计算得出,如公式(2)、(3)所示,式(2)、(3)中的 PW D 定义为球或滚子组件的节径,可以由轴承内外径的平均值近似,另外一个参数C0 就是大家熟知的额定静负荷。

由于疲劳极限的存在很容易由试验加以验证,因此很快得到了各个公司的认可,并且在首个正式版本 ISO 281: 1990的 2000修订版(我国等同采用为 GB/T 6391-2003)中得到采纳。其中推荐的修正寿命计算公式为(4)式。可见单一系数的流派占了上风。
L=a1aXYZL10 (4)
图 3 是 XYZ a 的计算模型示意图,显然这一模型仍然是定性而不是定量的。 只是表明当轴承所受应力逐渐减小到接近疲劳极限时, XYZ a 将趋近于无穷大,也就是轴承趋近于无限的寿命。
由于 ISO 281:1990(2000 修订版)中给出的图 3 仍是推荐各个公司自行理解和执行,因此实际上的可操作性不强,各个公司都有自己的一套计算公式和数据。

在此期间,SKF 公司逐渐将润滑、污染等参数的影响进行了量化, 形成了可以实际操作的新轴承寿命理论及其计算方法。 这一方法首先(2003 年)被德国标准采纳,成为 DIN ISO 281 的附录内容。随后又被ISO 281:2007 采纳,构成其正文第九章的内容,还包含有附录的部分内容。
三、 新寿命理论的主要内容
新标准颁布的新寿命理论量化了图 3的计算方法,已经完全具有可操作性了。其中给出的修正寿命计算公式为(5)式,实际上与(4)式完全相同。
L=a1aISOL10 (5)
由于考虑到了存在无限寿命的疲劳极限应力,可靠度系数 1 a 的数值与以前略有不同如表 4所示。
aISO的计算采用公式(6) ,即它是多种代表不同因素的系数为变量的复杂函数。

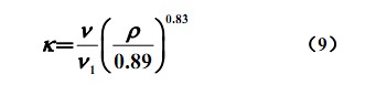
(6) 式中eC为污染系数, 由表 5 得出;Cu为疲劳极限可由样本查得或按照(2) 、(3)式估算;P 为当量动负荷,按照传统的计算方法计算得出;κ 为粘度比,本文后面将进行详细的分析。


由表 5可见, 在严重污染的条件下,eC可以为零,意味着轴承寿命完全取决于磨损,此时疲劳寿命的计算没有意义。另外,水以及其他液体的污染影响未加以考虑。

κ 为粘度比, 其定义为工作温度下润滑油的运动粘度ν 与基准运动粘度 1 ν 之比, 即(7)式。基准运动粘度 1 ν 取决于轴承的尺寸及其转速,可以由图 4 查得。
表 5

润滑油的粘度根据选定油品的技术数据可以得到,至此,进行修正寿命系数计算的各个参数均已具备。 因为电梯中很少用到推力轴承, 本文只给出用于向心轴承的计算图表,见图 5 和图 6。


在计算中如果粘度比κ 大于4则按照4计算,反之,如果κ 小于 0.1 则认为超出了标准的范围,不能进行有效的计算。同时计算得出的aISO不能超过 50, 即使
的数值大于 5 时也是如此。
标准 ISO 281:2007 中还指出,对于粘度比κ ,如果需要作更深入的分析,例如考虑油的粘压影响、油的特定密度、表面加工特殊光洁度等, 应该根据弹性流体动力润滑理论计算油膜参数Λ,然后再根据(8)式进行计算。

很显然上述油膜参数跟基础油的密度ρ有关,事实上标准中提供的(7)式仅适用于ρ=0.89 kg/dm3 的情形,如果要求更精确地考虑到基础油的不同密度时, 可以根据下面式(9)修正粘度比κ 的数值。

至此向大家介绍了 ISO 281: 2007 的滚动轴承修正额定寿命计算方法, 当然提供的图表是适合于手工计算, 为了适应现代计算机技术的发展,便于电算编程,在编制技术标准时往往都要求同时提供与图表相对应的数学拟合方程, 而且这种拟合方程往往会表现出很夸张的极其繁杂的数学表达式, 让人既觉惊讶而又本能地厌烦! 当然本标准也不例外,每一个图表(包括表 5)均有对应的复杂数学表达式, 需要时请大家参阅标准的原文。
四、 计算实例分析
从上文介绍可见, 新轴承寿命理论并不复杂,条理及思路均很清晰,实际操作和计算也较为简单, 如果编制了电算程序的话就更加方便了。但是,当我们应用到电梯无齿轮曳引机的设计之中时却马上碰到了问题,因为轴承一般不是油润滑而是脂润滑, 而严重的问题恰恰正是出在这里。
根据标准中新寿命理论的规定, 对于脂润滑的情况, 粘度比的计算和其中各个运动粘度数值都是针对于润滑脂中的基础油而言的,并且特别指出,如果润滑脂的沁油性能不佳的话, 轴承可能在严重的贫油状态下运转,由此会导致寿命大幅度下降。
由此可见, 传统的润滑脂的选用存在重大的问题,在以往的各种设计手册中,均未提到按照基础油粘度来选用润滑脂, 国产润滑脂样本的技术参数中甚至很少给出基础油的粘度及其粘度指数 (粘度随温度变化的指标) 。与此相反,国外品牌的润滑脂几乎都会明确给出详细的基础油的运动粘度数据,有的分别给出 40℃和 100℃的运动粘度,有的则给出 40℃的运动粘度和粘度指数, 总之都可以很容易求出其他温度下的运动粘度,可参见后文的(10)式,一般可用电脑程序计算。 大家的传统观念是根据针入度来选择润滑脂, 实际上这是严重混淆了概念,针入度与粘度没有任何的关系,而且针入度与润滑性能也没有直接的关系。
润滑油是由基础油和添加剂 2 类物质组成的,而润滑脂则是由基础油、稠化剂和添加剂 3 类物质在高温下混合组成的, 基础油都是主要的占多数的成分, 而添加剂含量很少甚至可以没有。
脂润滑和油润滑没有本质区别, 都是由基础油来达到润滑目的, 只不过在油润滑时直接将油送至滚动部位, 而脂润滑时是靠脂中沁出的基础油实现润滑。 而且实现润滑功能所需的油量是很少的, 要理解这一点可以想象一下油雾润滑的情形, 只要周期性间断式喷出油雾就可以起到最佳的润滑效果, 适用于最恶劣的高转速工况,正因如此,润滑脂只需少量沁油就能实现润滑功能,据统计,润滑脂的日常运行润滑事故中,80%是加脂量太多而不是加脂量太少造成的。 如果要靠油带走轴承中的热量, 可以使油流过轴承,这是另外一个与润滑无关的话题。
打个非常形象的比方,基础油就是钢球,稠化剂就是保持架,润滑脂就是钢球和保持架组件,没有保持架,钢球会四处散落起不到效果, 有了保持架就可以将钢球有机地联为一体实现特定的功能。 保持架的性能不同,就会使得钢球群的宏观性能各异,也就是润滑脂的针入度和泵送性不同, 就是这么简单而已, 你说真正起润滑和减磨作用的是钢球还是保持架呢?
基础油常见的有 2种,一种是矿物油,一种是合成油, 且通常是合成油的价格要远远高于矿物油。 合成油的粘度在温度变化时改变的程度较小(粘度指数大) ,但是其粘度在不同压力作用下时变化却较大, 所以综合起来看合成油的粘度稳定性并不比矿物油优越很多,其主要的优点是热稳定性、抗氧化性、抗剪切能力都要比矿物油强得多,适应更高温度下使用,且寿命更长。搞清楚了润滑脂的工作原理, 我们就来看看常用润滑脂是否适用于电梯曳引机使用。 在此给出一些有代表性的润滑脂的运动粘度数值,如表 6所示。


表6中3#锂基脂的基础油在70℃时粘度约为 25.393mm2 /s,是费尽九牛二虎之力才查来的,最后 2 种是进口高档产品,且其稠化剂是比锂基皂要高档的聚脲。 常用的密封轴承不管是国产还是进口的产品, 其中充填的润滑脂基本上均是适用于高速运转的工况,因此其基础油粘度与上述数值相近,可以认为,除非特别要求轴承厂专门另行填充低速润滑脂,其在 70℃时的粘度一般均不会超过25 mm2 /s。
鉴于上述理由, 下面的计算中就假定轴承运转时稳态的温度为 70℃(这一温度对于电机内的轴承而言并无什么余量, 而对于反绳轮轴承这一温度是保守的) ,且假定此时基础油运动粘度为25 mm2 /s。
下面以 1000公斤载重量 2: 1 曳引机为例进行计算,基本数据如下:
额定转速:150 r/min;
额定载荷:25000 N;
轴承型号:NSK 22213CD(球面滚子)
轴承内径:65 mm
轴承外经:120 mm
计算结果:

查图 6,得到: aISO =0.225
因此 90%可靠度下的修正寿命为:L =0.225×45579.5 = 10255.38 h
这一计算结果足以让大家大吃一惊, 按照传统的计算方法,轴承的寿命达到了45580 小时,即使按照有些公司要求的更高的 95%可靠度,其寿命仍达到了 28260 小时(参看表 4,但是老标准的a1 为0.62) 。
当然这是在润滑条件, 污染情况均正常的情况下的结果。根据新标准,我们发现恰恰是润滑情况出现了很大的问题,换句话说,由于电梯中的特殊工况——那就是轴承转速很低,导致了常规计算结果不可信!实际上这也可以认为是老标准中存在的一个巨大漏洞和陷阱。
由于轴承转速太低, 如果润滑油粘度不足,根据弹性流体动力润滑的理论,就不会形成足够厚度的油膜, 出现金属直接接触的情况,当然就大幅度降低了轴承的寿命。在本例中粘度比不到 0.35, 距离正常润滑要求的 1.0 相去甚远,要达到正常润滑,润滑脂基础油的粘度约需要提高 3 倍之多。
根据实际计算的结果, 轴承寿命已经远远不能满足通常所要求的 20000 小时额定寿命了,按照有些公司要求的 95%可靠度的话轴承寿命还要在此基础上打折到64%,仅有可怜的 6563 小时了。
在老标准的计算理念中, 认为基本额定寿命是一个保底数值, 所谓的修正额定寿命(除了可靠度)都是指延长轴承寿命,也就是计算一下轴承能在保底数值上延长到多少,因此这部分内容长期作为附录推荐,计算不计算很大程度上是玩玩而已。 从图 5 和图 6 可以看出, 在润滑正常和污染正常的情况下, 修正系数aISO在几倍到几十倍之间, 也就是说轴承寿命是基本额定寿命的几倍到几十倍之多, 这正是现代高超的炼钢技术、 现代完美加工技术的飞速进步所带来的甜美结果。
这里面请大家千万要注意,在本例中,由于润滑不足, 不仅完全抵消了现代高纯度钢材和高质量表面加工技术的巨大成果, 甚至还要倒贴——轴承寿命连基本额定寿命的四分之一都没有达到! 而且大家一定要认识到, 这一计算结果是已经考虑了各种有利条件的结果, 也是当代最接近实际情况的计算结果。 正因为修正系数aISO可能会显著地小于 1,因此,进行修正额定寿命的计算就成为了必须进行的工作。
可以想见, 工业应用中的很多轴承都会出现类似于电梯中的这种情况, 也就是油膜厚度不够, 怎么办呢?那就是在润滑油中应用极压添加剂 (extreme-pressure additive) ,简称 EP添加剂。
在新轴承寿命理论中, 当粘度比κ 小于1.0 时,如果污染系数eC 大于或等于 0.2,且润滑剂使用了经过证实有效的 EP 添加剂,则在计算修正系数aISO和污染系数eC时,粘度比κ 的值允许取为 1.0,不过,此时修正系数aISO的最大值限制为 3,但是如果按照实际的小于1.0的粘度比κ 计算出的修正系数aISO大于 3 时, 则aISO按照后者取大于 3的数值。
在污染系数eC小于 0.2 的重度污染条件下,EP 添加剂是否有效应在实际的润滑剂污染条件中得到证实, 也就是应在实际的使用现场或者适当的测试装置中加以证实。
为了加深大家的理解, 在不改变其他条件的情况下,仅仅改变转速,我们看看轴承寿命怎样变化(见表 7) 。
表7中前两行就是粘度比κ 小于0.1的情况,计算结果是无效的仅供参考,其数据是aISO取为 0.1得到的。很显然在没有极压添加剂时, 轴承寿命并不是象过去深入人心的常识那样与转速成简单的反比关系, 而是大约在 150 r/min时出现最低值,此后转速增加寿命反而增加,在 550 r/min左右寿命达到一个极大值, 仔细分析一下可以发现此时的粘度比κ 增加到 1.0了。

备注: 方法 1指的是我司全面应用过的DIN ISO 281 (2003) , 方法 2 指的是最新的但未及全面应用的 ISO 281:2007;润滑脂基础油密度ρ=0.93 kg/dm3 。
在有 EP添加剂时,轴承寿命确实是随着转速增加而逐步降低的,且在κ ≤1.0时与转速成简单的反比关系,但是κ > 1.0时不再成简单的反比关系。同时表 7 还表明EP 添加剂在κ > 1.0时并不起作用, 因此轴承寿命在有无 EP 时相同,EP 起作用的状态正是κ ≤1.0时也就是油膜厚度不够时的情形。另外,DIN ISO 281(2003)计算的结果与 ISO 281: 2007 可以认为几乎是一样的, 细微的差别可能是由于对基准运动粘度的数学拟合函数略有不同而导致。
五、 结论和展望
1、 滚动轴承疲劳寿命是一个多因素综合作用下的极其复杂的问题, 一百年来进行了各种各样的研究,取得了巨大的成果。直到今天, 关于滚动轴承疲劳寿命的理论及实验研究仍然是前沿课题, 且仍是存在很多的理论和模型,例如 Timken最新发表的报告仍然认为其计算方法比 ISO 281: 2007 要更加准确;
2、 被标准采纳的理论一方面要被世界各国的实验所证实, 另一方面反映的只能是几十年前的成果, 因此从这个意义上而言所谓的“新理论”其实并不新;
3、 从基于静态应力的设计, 到基于动态疲劳的设计是一个巨大的进步, 从 “内因”到“外因”学说的建立同样是巨大的进步,也符合科学技术发展的一般规律;
4、 最新的 ISO281:2007从量化的程度上给出了润滑和污染的影响, 具有很强的可操作性, 也使得计算结果更加符合实际情况。特别是提供了润滑脂的选用准则,以及EP 添加剂的使用原则,使得润滑设计进入了精益化的时代;
5、 目前轴承的润滑脂选用中存在很大的误区, 错误地根据针入度选用或者盲目地使用密封轴承将可能导致严重的后果。 尤其在电梯部件中例如曳引机、导向轮、反绳轮等由于转速很低, 往往会出现油膜厚度不够的情况, 导致轴承寿命严重降低从而影响整机的可靠性,甚至还会影响到安全性,这一点已有实际事故的发生;
6、 技术在不断发展之中, 现代疲劳过程的建模已经用到广泛的不同领域的技术,从原子模拟到有限元计算。目前,强大的试验装置已成为滚动轴承接触疲劳研究工作的重要组成部分, 这方面主要的课题是发展基于 X 射线衍射技术的检测方法来检查轴承钢的疲劳, 所进行的工作已从实验室拓展到了高能物理领域, 例如同步加速器测量和中子衍射, 基于其他技术例如电磁学的方法也在不断发展中, 以应用于疲劳探测和疲劳描述的研究行动中;
7、 滚动轴承长寿命化已经变成现实,一谈到机器故障就联想到轴承的时代必将过去, “无忧运转”一定会变成现实。
#p##e#苏州康开电气有限公司
简 介
苏州康开电气有限公司(原名湖州康开电气有限公司)创建于1989年7月,经过二十几年的发展,目前占地60亩,拥有标准厂房面积8000平方米,在职员工人数150名。公司总部座落在风景秀丽的太湖南岸─苏州吴江八都工业区。08年在苏州市区成立了研发工程中心。目前,在国内外已经拥有多个办事处,营销网络已遍布全球。
公司发展史






2008年国家标准制修订情况
一、制修订标准清单
1.GB/T 7024-2008《电梯、自动扶梯、自动人行道术语》(修订)
2.GB/T 7025.1-2008《电梯主参数及轿厢、井道、机房的形式与尺寸 第1 部分:Ⅰ、Ⅱ、Ⅲ、Ⅵ类电梯》(ISO/DIS 4190-1:2007 Lift (US: Elevator) installation- Part1:Class Ⅰ、Ⅱ、Ⅲ and Ⅵ lift,IDT)
3.GB/T 7025.2-2008《电梯主参数及轿厢、井道、机房的形式与尺寸第2 部分:Ⅳ类电梯》(ISO 4190:2001 Lift (US: Elevator) installation-Part 2: Class Ⅳ lifts ,IDT)
4.GB/T 10058-2009《电梯技术条件》(修订)
5.GB/T 10059-2009《电梯试验方法》(修订)
6.GB/T 10060-200×《电梯安装验收规范》(修订)
7.GB/T 18775-2009《电梯、自动扶梯和自动人行道维修规范》 (修订,EN13015:2001 Maintenance for lifts and escalators Rules for maintenance instructions, MOD)
8.GB ××××-200×《杂物电梯制造与安装安全规范》(EN 81-3:2000 Safety rules for the construction and installation of lifts - Part 3: Electric and hydraulic service lifts, IDT)
9. GB/T 22562-2008《电梯T型导轨》(ISO7465:2007,Passenger lifts and service lifts -Guide rails for lift cars and counterweights - T-type,IDT)
10.GB/T 24478-2009《电梯曳引机》(自行制订)
11.GB ××××.1-200×《电梯安全要求 - 第1部分:电梯基本安全要求》(ISO/TS 22559-1:2004, Safety requirements for lifts(elevators) - Part 1:Global essential Safety requirements (GESRs) for Lifts (elevators), IDT)
12.GB ××××-200×《在用电梯安全提高规范》 (EN 81-80:2003, Safety rules for the construction and installation of lifts – Existing lifts - Part 80: Rules for the improvement of safety of existing passenger and goods passenger lifts, IDT)
13.GB ××××-200×《消防员电梯制造与安装安全规范》 (EN 81-72:2003 Safety rules for the construction and installation of lifts - Particular application for passenger and goods passenger lifts:Firefighters,IDT)
14.GB ××××-200×《仅载货电梯制造与安装安全规范》(本标准的章节号和主要技术内容与FprEN 81-31:2009, Safety rules for the construction and installation of goods only lifts一致。)
15. GB/T 24477-2009《适用于残障人员的电梯要求》 (EN 81-70:2003 Safety rules for the construction and installations of lifts Particular applications for passenger and good passengers lifts- Part 70: Accessibility to lifts for persons including persons with disability, IDT)
16.GB ××××-200×《行动不便人员使用的垂直升降平台》(ISO 9386-1:2000 Power-operated lifting platforms for persons with impaired mobility - Rules for safety. dimensions and functional operation - Part 1: Vertical lifting platforms , MOD)
17.GB ××××-200×《行动不便人员使用的楼道升降机》(ISO 9386-2:2000 Power-operated lifting platforms for persons with impaired mobility - Rules for safety. dimensions and functional operation - Part 2: Powered stair lifts for seated, standing and wheelchair users moving in an inclined plane, MOD)
18.GB/T 24479-2009《火灾情况下的电梯特性》 (EN 81-73:2005 Safety rules for the construction and installation of lifts - Particular application for passenger and goods passenger lifts - Part 73:Behavior of lifts in the event of fire,IDT)
19.GB/T 24474-2009《电梯乘运质量测量》(ISO 18738:2003 Lifts(elevators) - Measurement of lift ride quality, IDT)
20.GB/T 24480-2009《电梯层门耐火试验》(EN 81-58:2003 Landing doors fire resistance test, IDT)
21.GB/T 24475-2009《电梯远程报警系统》(EN 81-28:2003 Remote alarm on lifts (elevators), IDT)
22.GB/T 24476-2009《电梯、自动扶梯和自动人行道数据监视和记录规范》(EN 627:1995 Specification for data logging and monitoring of lifts, escalators and passengers conveyors, MOD)
23.GB/T ××××-200×《电磁兼容性-电梯、自动扶梯和自动人行道的产品系列标准-发射》 (EN 12015:2004 Electromagnetic compatibility - Product family standard for lifts, escalators and moving walks - Emission, MOD)
24.GB/T ××××-200×《电磁兼容性-电梯、自动扶梯和自动人行道的产品系列标准- 干扰度》 (EN 12016:2004 Electromagnetic compatibility - Product family standard for lifts, escalators and moving walks - Immunity, IDT)
另有非电梯标委会归口的标准1项:
GB/T ××××-200×电梯运行服务要求 (自行制订)
二、个人见解
一年之中制修订24个标准是前所未有的事,要消化、贯彻这些标准实属不易。谨提供一些个人见解供参考。
1. 新增7个强制性标准:即上述第8、11~14、16、17项。这些强制性标准尚未获得标准号,在国家标准化委员会审批过程中可能会有变化。原强制性标准GB 10060-1993修订后改为推荐性标准。
2.GB/T 18775-2002《电梯维修规范》修订时,修改采用EN 13015:2001 Maintenance for lifts and escalators Rules for maintenance instructions,成为GB/T 18775-2009《电梯、自动扶梯和自动人行道维修规范》。修改后的适用范围扩大到自动扶梯和自动人行道。
3.GB ××××-200×《杂物电梯制造与安装安全规范》等同采用EN 81-3:2000 Safety rules for the construction and installation of lifts - Part 3: Electric and hydraulic service lifts。按《标准化法》第六条的规定,本标准颁布时原行业标准JG 135-2000《杂物电梯》相应作废。
同样,GB/T 22562-2008《电梯T型导轨》等同采用ISO 7465:2007,Passenger lifts and service lifts -Guide rails for lift cars and counterweights - T-type。本标准颁布时原行业标准JG/T 5072.1-1996《电梯T型导轨》及其配套标准JG/T 5072.2-1996《电梯T型导轨检验规则》相应作废。
4.在上述24项标准中,除第1、4~6、10项为我国自行制订的标准外,其余各项均采用国际标准或欧洲标准。同时,自行制订的第1、4~6项标准也吸收了技术发展的成果和国外标准的一些新内容,如GB/T 7024-2008《电梯、自动扶梯、自动人行道术语》采纳了新的定义(如停靠精度、平层准确(保持)度)以适应国际上的变化,GB/T 10058-2009《电梯技术条件》和GB/T 10060-200×《电梯安装验收规范》纳入了EN 81-1:1998/A1、A2的有关内容,GB/T 10059-2009《电梯试验方法》纳入了轿厢上行超速保护装置的检验方法和乘运质量检测方法等。这符合《标准化法》和国家标准化委员会的采用国际标准的规定,有利于国际交流,有利于国际贸易。在我国电梯出口量日益增加的情况下,尤为重要。GB/T 7025.1-2008《电梯主参数及轿厢、井道、机房的形式与尺寸 第1 部分:Ⅰ、Ⅱ、Ⅲ、Ⅵ类电梯》和GB/T 7025.2-2008《电梯主参数及轿厢、井道、机房的形式与尺寸第2 部分:Ⅳ类电梯》等同采用国际标准更有利于统一国际贸易中的电梯规格。应当指出,在企业依据某个采用国际(或欧洲)标准的国家标准陈述其产品“符合某国际(或欧洲)标准”时,不仅必须注意所引用的国家标准是等同采用还是修改采用相应的国际(或欧洲)标准,还必须注意该国家标准的引用标准是否也与原标准完全一致。在国际贸易中必须确保产品完全符合合同规定。否则,一个小疏忽可能会导致贸易纠纷。
5.GB ××××.1-200×《电梯安全要求 - 第1部分: 电梯基本安全要求》是一个非常重要的国家标准。其等同采用的ISO/TS 22559-1:2004, Safety requirements for lifts(elevators) - Part 1:Global essential Safety requirements (GESRs) for Lifts (elevators),是一组技术规范(Technical Specification)中的第1部分。该组技术规范的其余部分还在制订过程中,它们是:
ISO/CD TS 22559-2 Safety requirements for lifts - Part 2: Safety parameters meeting the GESRs
ISO/NP TS 22559-3 Safety requirements for lifts (elevators) - Part 3: Global conformity assessment procedures (GCAP) - General requirements
ISO/NP TS 22559-4 Safety requirements for lifts (elevators) - Part 4: Global conformity assessment procedures (GCAP) - Certification and Accreditation requirements。
ISO/TS 22559-1:2004是国际标准化组织的专家在比较全球主要电梯标准的基础上,经过多年协调取得的成果。虽然满足电梯基本安全要求的参数和评价程序尚在制订中,但是将该标准和GB/T 20900-2007《电梯、自动扶梯和自动人行道 - 风险评价和降低的方法》(ISO 14798:2006 Lifts(elevators), escalators and passenger conveyors - Risk analysis methodology, IDT) 结合在一起运用,对于设计电梯和评价在用电梯的风险都很有用。
6.GB ××××-200×《在用电梯安全提高规范》等同采用欧洲标准EN 81-80:2003, Safety rules for the construction and installation of lifts - Existing lifts - Part 80: Rules for the improvement of safety of existing passenger and goods passenger lifts。
GB 7588-1987颁布时,我国生产的电梯基本不能达到该标准的要求,所以标准颁布时给出了过渡期。事实上,在1990年代的前期仍有相当数量的新电梯不符合GB 7588-1987。当时,对于如何保证这部分电梯的安全运行的问题,一直有不同的见解:有的主张旧梯按旧标准,有的主张已经大修就必须符合GB 7588-1987。现在,GB 7588-1987已经发展到GB 7588-2003,而且还会进一步发展,会有新的安全要求,在用梯的安全运行问题将继续存在。GB ××××-200×《在用电梯安全提高规范》就将是保证在用梯的安全运行的准则,因此希望各电梯整机企业和电梯维修企业务必重视并贯彻这个强制性标准。
7.我国原来没有仅载货电梯的国家标准和行业标准,也没听说有企业标准。《标准化法》第六条规定:“企业生产的产品没有国家标准和行业标准的,应当制定企业标准,作为组织生产的依据。”《产品质量法》第十三条规定:“可能危及人体健康和人身、财产安全的工业产品,必须符合保障人体健康和人身、财产安全的国家标准、行业标准;未制定国家标准、行业标准的,必须符合保障人体健康和人身、财产安全的要求。”因此,依据法律,我国不应当存在这种电梯,但事实上,我国一直存在所谓“简易电梯”,有些地区还相当多。希望GB ××××-200×《仅载货电梯制造与安装安全规范》颁布后能使“简易电梯”规范化,消灭由“简易电梯”引发的安全事故。必须注意,仅载货电梯绝不能载人。
8.近30年来,我国的城市建设飞跃发展,新建筑林立。为应对可能出现的火灾,必须做好应急预案,在火灾情况下电梯的动作特性就是预案不可或缺的内容,GB/T 24479-2009《火灾情况下的电梯特性》对此做出了相应的规定。采用本标准的电梯需符合GB 7588或GB 21240的要求,但本标准的条款与上述标准的规定不同时,优先考虑本标准的条款。
9.在GB 7588-1995附录G(提示的附录)防火建议中,G4“消防员电梯”对于消防员用的电梯提出一些建议。GB 7588-2003删除了这个附录。此外,在GB 50045- 95《高层民用建筑设计防火规范》等建筑标准中零星散见一些有关要求。GB ××××-200×《消防员电梯制造与安装安全规范》对消防员电梯做出系统的规定。必须注意,“按本标准设计和制造的消防员电梯应符合GB 7588 或GB 21240 的要求,但本标准的条款与上述标准的规定不同时,应优先考虑本标准的条款。”
10.以前,JGJ 50- 2001《城市道路和建筑物无障碍设计规范》对于能供残障人士乘用的电梯做出了一些规定。现在,GB/T 24477-2009《适用于残障人员的电梯要求》的规定更为详尽。GB ××××-200×《行动不便人员使用的垂直升降平台》和GB ××××-200×《行动不便人员使用的楼道升降机》是两种适合残障人士使用的产品的国家标准。
11.在GB 7588-2003中,
12.GB/T 10058-1997《电梯技术条件》和GB/T 10059-1997《电梯试验方法》规定电梯运行舒适感以振动波型的0-P值衡量,与国际通用的以振动波型的P-P值衡量不一致,其实后者更合理。GB/T 24474-2009《电梯乘运质量测量》等同采用ISO 18738:2003 Lifts(elevators) - Measurement of lift ride quality,解决了这一问题。
13.GB/T 24475-2009《电梯远程报警系统》规定了提供给设备业主的有关维修服务和救援服务的最基本的信息。GB/T 24476-2009《电梯、自动扶梯和自动人行道数据监视和记录规范》规定了电梯、自动扶梯和自动人行道的数据监视和记录的基本特征。这两个标准的颁布有利于在用梯的维修和实施救援。相对于国内已有的先进的远程监视系统,GB/T 24475-2009《电梯远程报警系统》的要求并不高,但是贯彻该标准有利于提高总体水平。
14.电磁兼容的问题已经议论多年,GB/T ××××-200×《电磁兼容性-电梯、自动扶梯和自动人行道的产品系列标准-发射》和GB/T ××××-200×《电磁兼容性-电梯、自动扶梯和自动人行道的产品系列标准-干扰度》提供了符合电磁兼容性(EMC)要求的方法。
15.GB/T 24478-2009《电梯曳引机》根据当前的技术发展提出了一些要求。例如,“所有参与向制动轮或盘施加制动力的制动器机械部件应分两组以上装设。应检测每组机械部件,如果有一组部件不起作用,则曳引机应当停止运行或不能启动。” 相应地,GB 7588-2003的规定:“所有参与向制动轮或盘施加制动力的制动器机械部件应分两组装设。如果一组部件不起作用,应仍有足够的制动力使载有额定载荷以额定速度下行的轿厢减速下行。”两者相比,GB/T 24478-2009的规定“应分两组以上装设”就比较灵活,既允许采用“分三组装设”,又对现在已经有的此类产品提出了安全要求。又如,GB/T 24478-2009《电梯曳引机》还对制动响应时间做出规定,防止制动响应时间过长引发事故。
正因为2008年的标准制修订任务繁重,这一年中参与标准制修订的人员身心紧张在所难免。标委会秘书长陈凤旺更是辛苦。但是,从另一方面来说,由于工作量太大,标准中难免有疏漏或不足之处,望贯彻中各位同行能积极提出改进建议,使标准完善。
#p##e#
康开电气 创新无限
苏州康开电气有限公司(原湖州康开电气有限公司)创建于1989年7月,主要生产EI型、R型等系列变压器;输入滤波专用电抗器及双速启动专用电抗器;开关电源;电梯线路对地短路保护器;LED桥箱照明灯,LED照明。公司坐落于风景秀丽的太湖南岸-苏州八都工业园区。公司拥有一流的变压器制造、检测设备及先进的电子产品制造设备,目前变压器产出能力达16000KVA/月;电子产品产出能力达10000套/月。
公司致力于品质管理活动,大力推行全公司品质管理(CWQC)及品质管理圈(QCC)、工业工程管理(IE)等品质管理活动,1999年7月通过美国联合技术公司的Q-PLUS管理体系审查,2000年10月和11月相继经过中国质协质量保证中心及英国摩迪国际认证有限公司审核通过ISO-9002品质管理体系并授予证书。2001年3月引入(ACE)管理技术。2002年12月通过奥的斯的Q-PLUS三级认证,并被评为奥的斯优秀供应商。2004年度被评为奥的斯最佳产品质量供应商。2005年6月经万泰认证有限公司审核,通过ISO9001:2000品质管理体系并授予证书。
康开在二十几年的发展历程中,创下中国电气行业的诸多荣誉。并具备了完善的产品系列,建立了完整的研发系统,构建了完善的营销服务体系,拥有了一流的生产设备和工艺,培育了专业、高效、富有创造性和事业心的团队。在这一愿景的指引下,我们不满足于已有的成绩,积极面对对日益加剧的市场竞争和全球化挑战,继续保持在中国电气市场的领先地位,积极参与并赢得国际竞争。
我们不仅仅期望通过认真严谨的管理体系为客户制造高品质产品,更希望我们的产品能为客户创造价值,我们的主张是:打造世界一流品牌,与客户建立超越供应商的合作关系。
有好的内在,才有好的品质。我们的每一次苛求,都致力于提供更美妙的生活体验,倡导优质的生活,品质源自细节。
康开始终把品质放在发展的第一位,对每一位产品都经过严格细致的检验,从点点滴滴的细节开始抓起,一道钣金工艺,一个零件装配,一块材料取舍,即使小到螺丝钉这样的细节,我们也始终认真对待,因为多年来我们一直始终秉持着为客户制造最优势产品的理念。
在新产品层出不穷的今天,技术已经成为核心的竞争力。技术的每一步进步,都会推动产业的进步,康开拥有自己实力雄厚的科研队伍,以不断进取和研发的孜孜追求,推动着产品的更新换代,完善着产品品质。每一款产品都是科技的精华,都闪耀着科研团队智慧的光华,是技术和性能的完美结晶。
更值得骄傲的是公司研发的LED灯具将是电梯节能、提高灯具寿命的一次革新。其采用高强度材料,质感强力,抗老化性好,满足光照需求,于电梯融为一体,更具装饰效果。高透光亚克力灯罩板,超薄均匀,透光性强。简洁的造型、优美的流线型设计,充分体现了时尚、前卫的美学艺术。而且其能耗仅为传统灯具的1/5-1/10,寿命是传统灯具的10-20倍,在颜色和构造上可满足各种艺匠设计要求;可直接放置轿顶,免去复杂的双层结构,降低轿厢成本。
康开致力于生产优质的科技领先产品,始终以进取精神不断突破,执着探索产品的科技前沿,以创新完美的产品品质,坚持推陈出新,超越自我。
#p##e#正确决策,反向操作,赢得先机
——上海永大电梯设备有限公司陈海东经理
各位华东信息网的领导和朋友们,大家上午好!
我是上海永大电梯的陈海东,今天很荣幸的能在这里发言,和各位同行朋友一起分享在2008年末和2009年初那段经济危机下行业内的灰暗时期,我们是如何安然渡过的。我今天演讲的题目是“正确决策,反向操作,赢得先机”。
过去几年,世界经济包括中国经济都在高速的运转,经济全球化进程不断加快,导致全球需求过旺,出现了物价上涨的压力,大宗商品如石油、矿产价格上涨势头不可遏止。经济周期理论预示了全球经济必然经历周期性调整,中国也不可能独善其身。早在2008年上半年,中国经济过热,通货膨胀异常严重。以美国为首的欧美经济却已经呈现疲软、无法增长的态势。
在08年初,我们许作名总经理就大胆预估到08年第4季度经济状况会开始发生转折,也在同时,作出了08年全年公司营运上全面转向保守的策略,执行了如人员招募从紧,天津建厂停建,付款条件较差的合同不接等各种措施。08年9月,以Bear Stern投资银行倒闭为开始的全球金融危机爆发,短时间内世界经济遭到重创,大陆经济亦受到很大影响,尤其外贸出口行业最为严重。我们永大由于早在08年第一季就作出策略的转变,提前执行紧缩的战略,规避了营运风险,所以本次金融危机对永大影响不大。
在09年春天,全球金融危机波及每个企业的时候,永大公司通过各种方式开源节流,譬如我们在零件库存上,通过在系统中追加库存管制表,设定每个零件的周转周期,和采购部门联合洽谈缩短供应商的交货期,加强相关生产管理人员的电梯技术培训,使其在发放和订购电梯零件的时候,不是用枯燥的数字而是有了直观的感性知识,并用每月降低库存指标跟催管理人员,使我司的零件库存在2009年第一季度就下降了将近20%,截止10月底,我们的零件库存下降了将近48%;另外我们公司通过改善生产治具,合理安排工人生产任务,完善工人考勤制度上努力将生产工时降低了20%。
当然了,生产管理部门的努力也离不开采购部门的支持,经过我司采购部门的努力,将电梯标准零件的订购期由15天降为5天,进口零件的前置期也由120天降为30天,这样使生管部门能更好的掌握库存,提高了系统的订单准确率,再如去年钢材市场的波动较大,我们采购部门就专人通过随时掌握市场价格,以现货和期货相结合的方法,使我司的钢材采购价格保持在合理的范围,另外在稳定供应量和开发新厂商上,采购部门更是不遗余力。通过了上述种种措施,使我们公司顺利渡过此次金融危机。
在此次的金融危机下,我们永大认为中国外贸出口会受到欧美需求衰退影响,而且这个影响会是长期的,但是通过一个季度的观察,我们发现中国政府在扩大固定投资、保障医疗保险、刺激国内消费等方面采取了积极作为,我们认为中国政府正主动寻求和实施战略性结构调整,从出口创汇型、投资主导型增长模式转向消费主导型增长模式。这个对电梯行业而言是个利好消息。
因此从09年二季度开始,永大公司反向操作,加大投资力度。不仅停建的天津工厂预算资金全部到位,并加快建设步伐,而且努力提升研发技术层次,并陆续引进各种新型生产设备,准备2010年再度扩大生产规模。反观国内其他一些外资企业,认为中国政府无法避免本次经济危机,而采取紧缩、保守的策略。因此在这次危机中,这一来一往不同的作法使我们永大电梯在电梯市场的竞争中进一步取得优先地位。
上海永大电梯公司自成立以来,坚持走自主创新、技术升级的道路,不靠外资,将知识产权牢牢地掌握在自己手中,并申请了多项专利技术,以自有技术谋取企业长远利润。我们认为这是企业永续经营、对抗竞争对手的唯一途径。我们也认为中国靠代加工输出产品与劳动赚取微薄利润、储存巨大的外汇存底的时代已经过去了。接下来的10年,应该是以研发、技术升级、自主创新才是企业永续经营的核心实力。
我们相信有中国政府的发动巨擎作为支撑,未来几年中国仍将成为全球经济的火车头。在这个经济复苏的过程中,永大公司希望与各位同行朋友一起努力发展和携手壮大。
谢谢大家。